Home Browse Text SearchFunctional Group SearchStructure SearchPreferences Administration

selected data collection: 1

IRIS SDF: browse content


1
  <<    <    >    >>  

1:250896 C29H36Cl2N6O3
hit structure
1:250897 C28H35F3N8O2
hit structure
1:250898 C26H23F3N4O4
hit structure
1:250899 C26H23F3N4O4
hit structure
1:250900 C21H20Cl2N4O3
hit structure
1:250901 C21H20Cl2N4O3
hit structure
1:250902 C21H17FN4
hit structure
1:250903 C20H20N4O2
hit structure
1:250904 C95H142N26O23S2
hit structure
1:250905 C57H78N12O16
hit structure
1:250906 C17H21N3O4S
hit structure
1:250907 C13H22N6O2S
hit structure
1:250908 C16H22N4O4S
hit structure
1:250909 C17H24N4O2S3
hit structure
1:250910 C28H45N5O6S3
hit structure
1:250911 C12H21N3O2S2
hit structure
1:250912 C23H42N4O6S2
hit structure
1:250913 C28H30N4O3S
hit structure
1:250914 C20H25N7O2S
hit structure
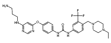
1:250915 C31H46N8O7S
hit structure
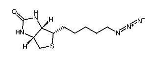
1:250916 C10H17N5OS
hit structure
1:250917 C12H18N2OS
hit structure
1:250918 C10H17N3O2S
hit structure
1:250919 C27H46O
hit structure
1:250920 C23H30N4O2S
hit structure

1
  <<    <    >    >>  

entries in data collection: 302690