Home Browse Text SearchFunctional Group SearchStructure SearchPreferences Administration

selected data collection: 1

IRIS SDF: browse content


1
  <<    <    >    >>  

1:250846 C17H11NO3
hit structure
1:250847 C9H15O6P
hit structure
1:250848 C24H36N4O6S
hit structure
1:250849 C18H25N3O3S
hit structure
1:250850 C16H28N4O4S
hit structure
1:250851 C46H50N10O9
hit structure
1:250852 C55H65N7O12
hit structure
1:250853 C51H53N7O16
hit structure
1:250854 C48H63N13O10
hit structure
1:250855 C23H34N4O4S3
hit structure
1:250856 C14H20N4O4
hit structure
1:250857 C16H15N5
hit structure
1:250858 C27H38D6O2
hit structure
1:250859 C27H40D6O2
hit structure
1:250860 C27H38D6O
hit structure
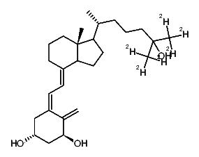
1:250861 C27H38D6O2
hit structure
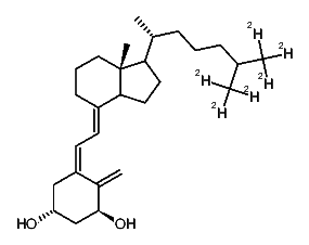
1:250862 C27H38D6O3
hit structure
1:250863 C27H41D3O
hit structure
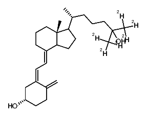
1:250864 C27H38D6O
hit structure
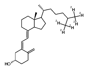
1:250865 C27H40D6O
hit structure
1:250866 C28H38D6O2
hit structure
1:250867 C28H38D6O2
hit structure
1:250868 C28H38D6O3
hit structure
1:250869 C28H41D3O
hit structure
1:250870 C28H38D6O
hit structure

1
  <<    <    >    >>  

entries in data collection: 302690