Home Browse Text SearchFunctional Group SearchStructure SearchPreferences Administration

selected data collection: 1

IRIS SDF: browse content


1
  <<    <    >    >>  

1:249746 C33H31NO7S2
hit structure
1:249747 C33H31NO7S2
hit structure
1:249748 C29H32N4O7
hit structure
1:249749 C29H32N4O7
hit structure
1:249750 C23H25N5O5
hit structure
1:249751 C19H17NO4Se
hit structure
1:249752 C24H29NO4S2
hit structure
1:249753 C28H28N2O8S
hit structure
1:249754 C29H29N5O6
hit structure
1:249755 C29H29N5O6
hit structure
1:249756 C36H50N2O5
hit structure
1:249757 C27H30N2O7
hit structure
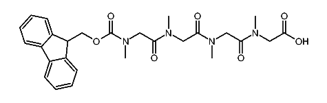
1:249758 C27H32N4O7
hit structure
1:249759 C40H36N2O4
hit structure
1:249760 C39H56N2O5
hit structure
1:249761 C40H36N2O4
hit structure
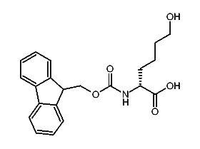
1:249762 C21H23NO5
hit structure
1:249763 C22H19F3N2O5
hit structure
1:249764 C39H52N8O11
hit structure
1:249765 C22H19F3N2O5
hit structure
1:249766 C28H27NO6
hit structure
1:249767 C26H30N2O6
hit structure
1:249768 C28H27NO6
hit structure
1:249769 C26H30N2O6
hit structure
1:249770 C29H29NO6
hit structure

1
  <<    <    >    >>  

entries in data collection: 327850