Home Browse Text SearchFunctional Group SearchStructure SearchPreferences Administration

selected data collection: 1

IRIS SDF: browse content


1
  <<    <    >    >>  

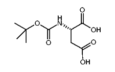
1:248396 C10H17NO5
hit structure
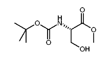
1:248397 C9H17NO5
hit structure
1:248398 C16H28N2O8S2
hit structure
1:248399 C15H21NO4S
hit structure
1:248400 C16H23NO4S
hit structure
1:248401 C15H19N3O7
hit structure
1:248402 C20H24N2O8
hit structure
1:248403 C9H15NO6
hit structure
1:248404 C22H25NO4S
hit structure
1:248405 C13H18N2O4
hit structure
1:248406 C14H25NO6
hit structure
1:248407 C20H22N2O6
hit structure
1:248408 C18H22N2O6
hit structure
1:248409 C14H20N2O6
hit structure
1:248410 C10H15NO5
hit structure
1:248411 C9H18N2O4
hit structure
1:248412 C13H16N2O6
hit structure
1:248413 C16H21N3O7
hit structure
1:248414 C23H26N2O8
hit structure
1:248415 C21H26N2O8
hit structure
1:248416 C17H24N2O6
hit structure
1:248417 C15H24N2O6
hit structure
1:248418 C13H26N2O4
hit structure
1:248419 C17H24N2O6
hit structure
1:248420 C15H24N2O6
hit structure

1
  <<    <    >    >>  

entries in data collection: 393266