Home Browse Text SearchFunctional Group SearchStructure SearchPreferences Administration

selected data collection: 1

IRIS SDF: browse content


1
  <<    <    >    >>  

1:246964 C59H49N3O6
hit structure
1:246965 C44H42N2O7
hit structure
1:246966 C58H48N2O5S
hit structure
1:246967 C42H39N3O6S
hit structure
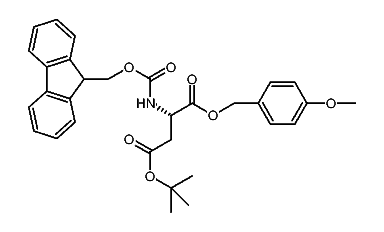
1:246968 C43H42N2O5S
hit structure
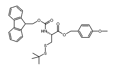
1:246969 C43H42N2O5S2
hit structure
1:246970 C60H51N3O6
hit structure
1:246971 C45H44N2O7
hit structure
1:246972 C38H32N2O5
hit structure
1:246973 C61H50N4O5
hit structure
1:246974 C52H47N3O7
hit structure
1:246975 C27H29NO5
hit structure
1:246976 C43H52N4O8S
hit structure
1:246977 C44H54N4O8S
hit structure
1:246978 C47H44N2O6
hit structure
1:246979 C32H37NO7
hit structure
1:246980 C46H43NO5S
hit structure
1:246981 C30H34N2O6S
hit structure
1:246982 C31H37NO5S
hit structure
1:246983 C31H37NO5S2
hit structure
1:246984 C48H46N2O6
hit structure
1:246985 C33H39NO7
hit structure
1:246986 C26H27NO5
hit structure
1:246987 C49H45N3O5
hit structure
1:246988 C30H35NO5
hit structure

1
  <<    <    >    >>  

entries in data collection: 277530