Home Browse Text SearchFunctional Group SearchStructure SearchPreferences Administration

selected data collection: 1

IRIS SDF: browse content


1
  <<    <    >    >>  

1:244939 C40H37NO4S
hit structure
1:244940 C41H39NO4S
hit structure
1:244941 C24H28N2O6
hit structure
1:244942 C25H30N2O6
hit structure
1:244943 C21H23NO4S
hit structure
1:244944 C26H31NO6
hit structure
1:244945 C27H37NO5Si
hit structure
1:244946 C37H45N7O7S
hit structure
1:244947 C24H28N2O5
hit structure
1:244948 C22H24N4O4
hit structure
1:244949 C35H44N2O6
hit structure
1:244950 C25H28N2O5
hit structure
1:244951 C28H28N2O8S
hit structure
1:244952 C29H27N5O3S
hit structure
1:244953 C26H19N3O4S2
hit structure
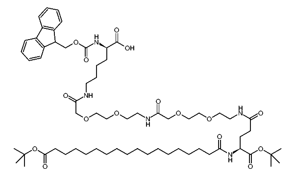
1:244954 C64H101N5O16
hit structure
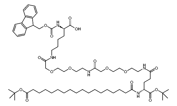
1:244955 C64H101N5O16
hit structure
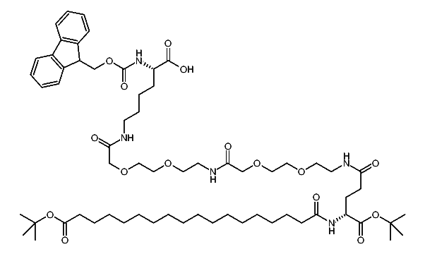
1:244956 C64H101N5O16
hit structure
1:244957 C22H21NO4S
hit structure
1:244958 C25H28N2O6
hit structure
1:244959 C24H24N2O6
hit structure
1:244960 C28H36N2O6
hit structure
1:244961 C39H34N2O5
hit structure
1:244962 C22H23NO4
hit structure
1:244963 C28H34N2O7
hit structure

1
  <<    <    >    >>  

entries in data collection: 327850