Home Browse Text SearchFunctional Group SearchStructure SearchPreferences Administration

selected data collection: 1

IRIS SDF: browse content


1
  <<    <    >    >>  

1:244114 C24H29NO4
hit structure
1:244115 C22H25NO4
hit structure
1:244116 C21H23NO4
hit structure
1:244117 C20H20ClNO4
hit structure
1:244118 C22H25NO4
hit structure
1:244119 C20H19NO4
hit structure
1:244120 C21H21NO4
hit structure
1:244121 C22H23NO4
hit structure
1:244122 C24H21NO4
hit structure
1:244123 C20H21NO5
hit structure
1:244124 C20H21NO5
hit structure
1:244125 C22H25NO4
hit structure
1:244126 C22H25NO4
hit structure
1:244127 C22H23NO4
hit structure
1:244128 C22H23NO4
hit structure
1:244129 C26H25NO4
hit structure
1:244130 C30H33NO5
hit structure
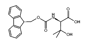
1:244131 C25H29NO6
hit structure
1:244132 C26H31NO6
hit structure
1:244133 C28H36N2O6
hit structure
1:244134 C27H34N2O6
hit structure
1:244135 C35H42N4O7S
hit structure
1:244136 C20H18N4O4
hit structure
1:244137 C21H23NO4
hit structure
1:244138 C21H21NO4
hit structure

1
  <<    <    >    >>  

entries in data collection: 342946