Home Browse Text SearchFunctional Group SearchStructure SearchPreferences Administration

selected data collection: 1

IRIS SDF: browse content


1
  <<    <    >    >>  

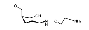
1:243639 C11H28N2O3
hit structure
1:243640 C11H28N2O3
hit structure
1:243641 C11H28N2O3
hit structure
1:243642 C11H28N2O3
hit structure
1:243643 C11H28N2O3
hit structure
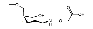
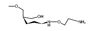
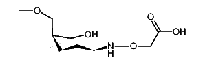
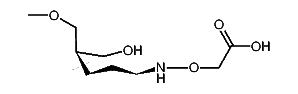
1:243644 C11H25NO5
hit structure
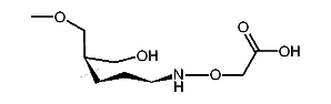
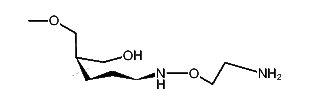
1:243645 C11H25NO5
hit structure
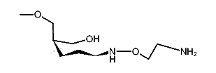
1:243646 C11H25NO5
hit structure
1:243647 C11H25NO5
hit structure
1:243648 C11H25NO5
hit structure
1:243649 C11H25NO5
hit structure
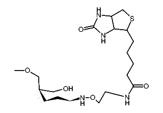
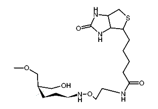
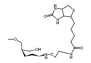
1:243650 C21H42N4O5S
hit structure
1:243651 C21H42N4O5S
hit structure
1:243652 C21H42N4O5S
hit structure
1:243653 C21H42N4O5S
hit structure
1:243654 C21H42N4O5S
hit structure
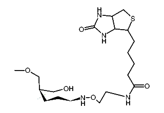
1:243655 C12H29NO3S
hit structure
1:243656 C25H23N3O2
hit structure
1:243657 C47H51FN7O7P
hit structure
1:243658 C41H49FN5O8P
hit structure
1:243659 C44H53FN7O8P
hit structure
1:243660 C48H54N7O8P
hit structure
1:243661 C47H54N5O9P
hit structure
1:243662 C45H56N7O9P
hit structure
1:243663 C40H49N4O9P
hit structure

1
  <<    <    >    >>  

entries in data collection: 388234