Home Browse Text SearchFunctional Group SearchStructure SearchPreferences Administration

selected data collection: 1

IRIS SDF: browse content


1
  <<    <    >    >>  

1:243464 C15H28N2O6
hit structure
1:243465 C9H20N2O2
hit structure
1:243466 C8H18N2O2
hit structure
1:243467 C10H22N2O2
hit structure
1:243468 C15H32N2O4
hit structure
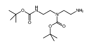
1:243469 C11H24N2O4
hit structure
1:243470 C7H16N2O2
hit structure
1:243471 C14H22N2O2
hit structure
1:243472 C23H26BrN2O2P
hit structure
1:243473 C9H18N2O2
hit structure
1:243474 C9H18N2O2
hit structure
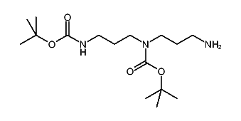
1:243475 C11H22N2O2
hit structure
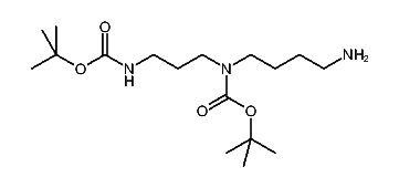
1:243476 C13H26N2O2
hit structure
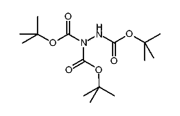
1:243477 C14H29N3O4
hit structure
1:243478 C14H29N3O4
hit structure
1:243479 C16H33N3O4
hit structure
1:243480 C16H33N3O4
hit structure
1:243481 C17H35N3O4
hit structure
1:243482 C17H35N3O4
hit structure
1:243483 C10H22N4O3
hit structure
1:243484 C24H50N4O4
hit structure
1:243485 C9H20N2O2S2
hit structure
1:243486 C13H28N2O2
hit structure
1:243487 C14H30N2O2
hit structure
1:243488 C15H32N2O2
hit structure

1
  <<    <    >    >>  

entries in data collection: 393266