Home Browse Text SearchFunctional Group SearchStructure SearchPreferences Administration

selected data collection: 1

IRIS SDF: browse content


1
  <<    <    >    >>  

1:242789 C19H28N2O6
hit structure
1:242790 C10H19NO4S
hit structure
1:242791 C14H18FNO4
hit structure
1:242792 C14H17Cl2NO4
hit structure
1:242793 C14H17F2NO4
hit structure
1:242794 C14H18FNO4
hit structure
1:242795 C14H18INO4
hit structure
1:242796 C14H18BrNO4
hit structure
1:242797 C14H18FNO4
hit structure
1:242798 C15H21NO4
hit structure
1:242799 C14H20N2O4
hit structure
1:242800 C29H30N2O6
hit structure
1:242801 C14H18N2O6
hit structure
1:242802 C14H14F5NO4
hit structure
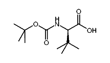
1:242803 C10H15NO4
hit structure
1:242804 C16H23NO5
hit structure
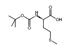
1:242805 C11H21NO4
hit structure
1:242806 C21H23Cl2NO5
hit structure
1:242807 C21H25NO5
hit structure
1:242808 C18H21NO4
hit structure
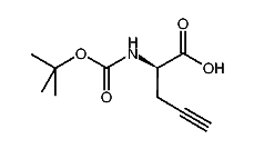
1:242809 C9H17NO4
hit structure
1:242810 C16H21NO4
hit structure
1:242811 C18H21NO4
hit structure
1:242812 C13H18N2O4
hit structure
1:242813 C21H34N4O7S
hit structure

1
  <<    <    >    >>  

entries in data collection: 403330