Home Browse Text SearchFunctional Group SearchStructure SearchPreferences Administration

selected data collection: 1

IRIS SDF: browse content


1
  <<    <    >    >>  

1:242714 C8H16N2O4
hit structure
1:242715 C22H24N2O6
hit structure
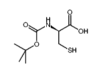
1:242716 C8H15NO4S
hit structure
1:242717 C19H30N2O6
hit structure
1:242718 C12H20N2O6
hit structure
1:242719 C12H20N2O6
hit structure
1:242720 C18H28N2O6
hit structure
1:242721 C14H18N4O8
hit structure
1:242722 C16H22N2O6
hit structure
1:242723 C8H16N2O4
hit structure
1:242724 C23H26N2O6
hit structure
1:242725 C25H30N2O6
hit structure
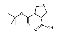
1:242726 C9H15NO4S
hit structure
1:242727 C17H20N2O4
hit structure
1:242728 C19H30N2O6
hit structure
1:242729 C15H20N4O8
hit structure
1:242730 C18H28N2O6
hit structure
1:242731 C11H19NO4
hit structure
1:242732 C20H32N2O6
hit structure
1:242733 C10H18N2O3
hit structure
1:242734 C15H21NO5
hit structure
1:242735 C11H19NO4
hit structure
1:242736 C13H17NO4
hit structure
1:242737 C25H32N4O7
hit structure
1:242738 C18H21NO4
hit structure

1
  <<    <    >    >>  

entries in data collection: 403330