Home Browse Text SearchFunctional Group SearchStructure SearchPreferences Administration

selected data collection: 1

IRIS SDF: browse content


1
  <<    <    >    >>  

1:241607 C16H22N2O7S2
hit structure
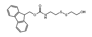
1:241608 C19H21NO3S2
hit structure
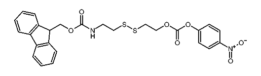
1:241609 C26H24N2O7S2
hit structure
1:241610 C19H14N2O5S2
hit structure
1:241611 C14H21NO3S2
hit structure
1:241612 C21H24N2O7S2
hit structure
1:241613 C24H23NO3S2
hit structure
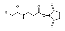
1:241614 C9H11BrN2O5
hit structure
1:241615 C8H14N2O2S
hit structure
1:241616 C24H20N2O7S
hit structure
1:241617 C16H32ClN3O5
hit structure
1:241618 C9H9N3O2
hit structure
1:241619 C10H19NO5
hit structure
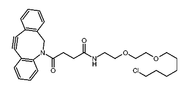
1:241620 C29H35ClN2O4
hit structure
1:241621 C10H22ClNO2
hit structure
1:241622 C14H30ClNO4
hit structure
1:241623 C10H20ClN3O2
hit structure
1:241624 C14H28ClN3O4
hit structure
1:241625 C16H26N2O2
hit structure
1:241626 C16H30N2O2
hit structure
1:241627 C18H34N2O2
hit structure
1:241628 C18H30N2O2
hit structure
1:241629 C29H31NO6
hit structure
1:241630 C30H29NO6
hit structure
1:241631 C28H29NO6
hit structure

1
  <<    <    >    >>  

entries in data collection: 277530