Home Browse Text SearchFunctional Group SearchStructure SearchPreferences Administration

selected data collection: 1

IRIS SDF: browse content


1
  <<    <    >    >>  

1:240357 C14H26N2O4
hit structure
1:240358 C16H30N2O4
hit structure
1:240359 C14H22N2O4
hit structure
1:240360 C14H22N2O4
hit structure
1:240361 C18H30N2O4
hit structure
1:240362 C7H13NO2
hit structure
1:240363 C6H13NO2
hit structure
1:240364 C7H15NO2
hit structure
1:240365 C8H17NO2
hit structure
1:240366 C9H19NO2
hit structure
1:240367 C7H15NO2
hit structure
1:240368 C6H13NO2
hit structure
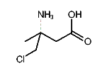
1:240369 C5H10ClNO2
hit structure
1:240370 C9H17NO2
hit structure
1:240371 C10H19NO2
hit structure
1:240372 C7H15NO2
hit structure
1:240373 C7H13NO2
hit structure
1:240374 C7H13NO3
hit structure
1:240375 C5H9NO2
hit structure
1:240376 C6H11NO2
hit structure
1:240377 C16H26N2O4
hit structure
1:240378 C16H22N2O4
hit structure
1:240379 C18H34N2O4
hit structure
1:240380 C18H30N2O4
hit structure
1:240381 C8H15NO2
hit structure

1
  <<    <    >    >>  

entries in data collection: 307722