Home Browse Text SearchFunctional Group SearchStructure SearchPreferences Administration

selected data collection: 1

IRIS SDF: browse content


1
  <<    <    >    >>  

1:239732 C7H15NO2
hit structure
1:239733 C6H13NO2
hit structure
1:239734 C6H10F3NO2
hit structure
1:239735 C12H12F3NO3
hit structure
1:239736 C12H12F3NO3
hit structure
1:239737 C13H18N2O4
hit structure
1:239738 C22H19N3O2S
hit structure
1:239739 C6H11N3O2
hit structure
1:239740 C6H9N5O4
hit structure
1:239741 C4H6N4O3
hit structure
1:239742 C10H15N7O6
hit structure
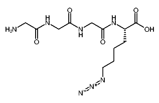
1:239743 C12H21N7O5
hit structure
1:239744 C9H10INO2
hit structure
1:239745 C10H13NO2
hit structure
1:239746 C9H6F5NO2
hit structure
1:239747 C16H17NO2
hit structure
1:239748 C12H17NO2
hit structure
1:239749 C5H7NO2
hit structure
1:239750 C12H15NO2
hit structure
1:239751 C6H11NO2
hit structure
1:239752 C7H15NO3
hit structure
1:239753 C4H9NO3
hit structure
1:239754 C12H12N2O3
hit structure
1:239755 C4H9NO2
hit structure
1:239756 C10H13NO2
hit structure

1
  <<    <    >    >>  

entries in data collection: 317786