Home Browse Text SearchFunctional Group SearchStructure SearchPreferences Administration

selected data collection: 1

IRIS SDF: browse content


1
  <<    <    >    >>  

1:238432 C15H28N2O6
hit structure
1:238433 C9H20N2O2
hit structure
1:238434 C8H18N2O2
hit structure
1:238435 C10H22N2O2
hit structure
1:238436 C15H32N2O4
hit structure
1:238437 C11H24N2O4
hit structure
1:238438 C7H16N2O2
hit structure
1:238439 C14H22N2O2
hit structure
1:238440 C23H26BrN2O2P
hit structure
1:238441 C9H18N2O2
hit structure
1:238442 C9H18N2O2
hit structure
1:238443 C11H22N2O2
hit structure
1:238444 C13H26N2O2
hit structure
1:238445 C14H29N3O4
hit structure
1:238446 C14H29N3O4
hit structure
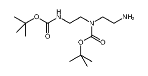
1:238447 C16H33N3O4
hit structure
1:238448 C16H33N3O4
hit structure
1:238449 C17H35N3O4
hit structure
1:238450 C17H35N3O4
hit structure
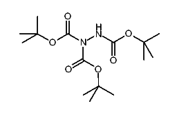
1:238451 C10H22N4O3
hit structure
1:238452 C24H50N4O4
hit structure
1:238453 C9H20N2O2S2
hit structure
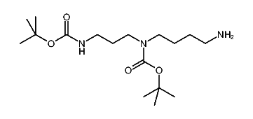
1:238454 C13H28N2O2
hit structure
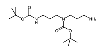
1:238455 C14H30N2O2
hit structure
1:238456 C15H32N2O2
hit structure

1
  <<    <    >    >>  

entries in data collection: 342946