Home Browse Text SearchFunctional Group SearchStructure SearchPreferences Administration

selected data collection: 1

IRIS SDF: browse content


1
  <<    <    >    >>  

1:236925 C30H35NO5
hit structure
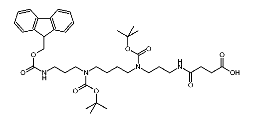
1:236926 C35H44N2O7
hit structure
1:236927 C29H33NO5S
hit structure
1:236928 C30H35NO5
hit structure
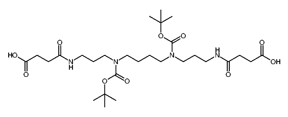
1:236929 C34H42N2O7
hit structure
1:236930 C33H33NO5
hit structure
1:236931 C29H31NO5
hit structure
1:236932 C31H37NO6
hit structure
1:236933 C32H39NO6
hit structure
1:236934 C37H41NO6
hit structure
1:236935 C29H33NO5
hit structure
1:236936 C40H42N2O7
hit structure
1:236937 C89H91N7O14
hit structure
1:236938 C96H98N8O15
hit structure
1:236939 C25H50N4O6
hit structure
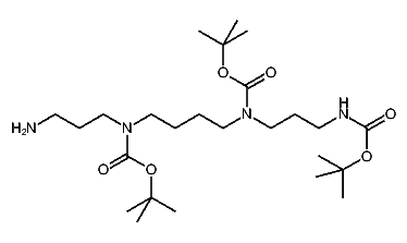
1:236940 C20H42N4O4
hit structure
1:236941 C39H56N4O9
hit structure
1:236942 C10H24N6
hit structure
1:236943 C31H58N4O10
hit structure
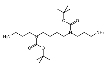
1:236944 C20H42N4O4
hit structure
1:236945 C10H22N8
hit structure
1:236946 C29H54N4O9
hit structure
1:236947 C25H48N6O6
hit structure
1:236948 C28H50N4O10
hit structure
1:236949 CH2Cl2
hit structure

1
  <<    <    >    >>  

entries in data collection: 272498