Home Browse Text SearchFunctional Group SearchStructure SearchPreferences Administration

selected data collection: 1

IRIS SDF: browse content


1
  <<    <    >    >>  

1:236675 C24H37N5O3S3
hit structure
1:236676 C20H29N5O5S
hit structure
1:236677 C23H33N5O7S
hit structure
1:236678 C22H34N4O5S
hit structure
1:236679 C9H17N3OS
hit structure
1:236680 C20H17Cl
hit structure
1:236681 C6H7ClIN
hit structure
1:236682 C8H9NO2
hit structure
1:236683 C22H20O2S
hit structure
1:236684 C16H15F5N2O3S
hit structure
1:236685 C17H24N6O5
hit structure
1:236686 C18H23N3O5
hit structure
1:236687 C27H40N6O7S
hit structure
1:236688 C36H39N5O7
hit structure
1:236689 C15H27N5O3S2
hit structure
1:236690 C9H6N4O3
hit structure
1:236691 C13H16N4O4
hit structure
1:236692 C6H7NO5
hit structure
1:236693 C10H11NO2S
hit structure
1:236694 C8H9NO2
hit structure
1:236695 C10H15NO4
hit structure
1:236696 C14H18N2O6
hit structure
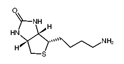
1:236697 C12H19NO6
hit structure
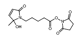
1:236698 C16H22N2O8
hit structure
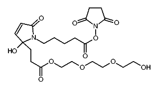
1:236699 C22H32N2O11
hit structure

1
  <<    <    >    >>  

entries in data collection: 277530