Home Browse Text SearchFunctional Group SearchStructure SearchPreferences Administration

selected data collection: 1

IRIS SDF: browse content


1
  <<    <    >    >>  

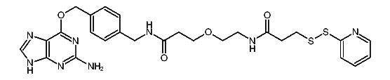
1:236625 C31H40N8O9
hit structure
1:236626 C21H21N7O2S2
hit structure
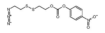
1:236627 C26H30N8O4S2
hit structure
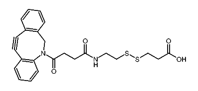
1:236628 C34H31N7O3
hit structure
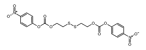
1:236629 C24H22N2O2
hit structure
1:236630 C23H21F9N4O4S
hit structure
1:236631 C21H16F9NO5S
hit structure
1:236632 C35H41F9N4O6S2
hit structure
1:236633 C16H30N4O4S
hit structure
1:236634 C7H7N3O
hit structure
1:236635 C8H4N2O4S
hit structure
1:236636 C12H16N2O5S2
hit structure
1:236637 C5H9N3O2S2
hit structure
1:236638 C24H24N2O4S2
hit structure
1:236639 C14H24N6O2S3
hit structure
1:236640 C20H22BNO7
hit structure
1:236641 C36H35BN2O13
hit structure
1:236642 C11H12N4O5S2
hit structure
1:236643 C18H16N2O10S2
hit structure
1:236644 C19H14N2O4S3
hit structure
1:236645 C10H17NOS
hit structure
1:236646 C13H22N2O2S
hit structure
1:236647 C14H21NO4S
hit structure
1:236648 C18H34N4O5S
hit structure
1:236649 C10H8N4OS
hit structure

1
  <<    <    >    >>  

entries in data collection: 277530