Home Browse Text SearchFunctional Group SearchStructure SearchPreferences Administration

selected data collection: 1

IRIS SDF: browse content


1
  <<    <    >    >>  

1:234875 C40H37NO4S
hit structure
1:234876 C41H39NO4S
hit structure
1:234877 C24H28N2O6
hit structure
1:234878 C25H30N2O6
hit structure
1:234879 C21H23NO4S
hit structure
1:234880 C26H31NO6
hit structure
1:234881 C27H37NO5Si
hit structure
1:234882 C37H45N7O7S
hit structure
1:234883 C24H28N2O5
hit structure
1:234884 C22H24N4O4
hit structure
1:234885 C35H44N2O6
hit structure
1:234886 C25H28N2O5
hit structure
1:234887 C28H28N2O8S
hit structure
1:234888 C29H27N5O3S
hit structure
1:234889 C26H19N3O4S2
hit structure
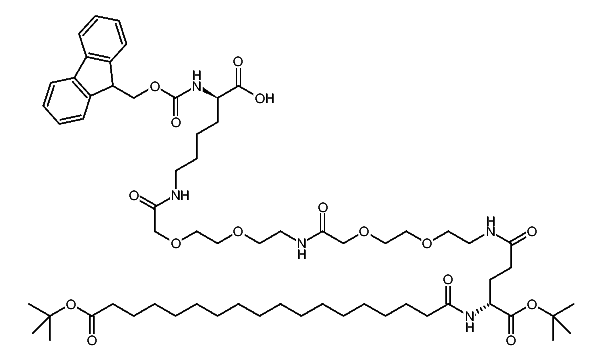
1:234890 C64H101N5O16
hit structure
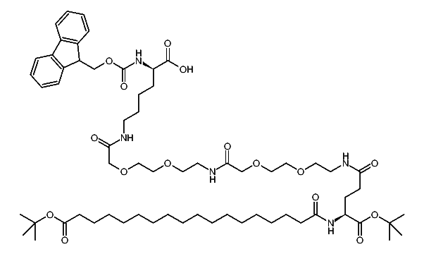
1:234891 C64H101N5O16
hit structure
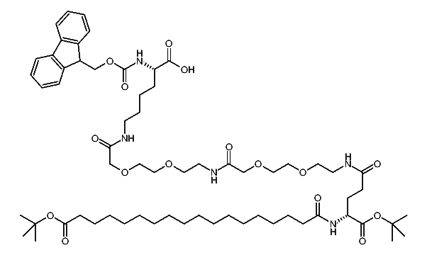
1:234892 C64H101N5O16
hit structure
1:234893 C22H21NO4S
hit structure
1:234894 C25H28N2O6
hit structure
1:234895 C24H24N2O6
hit structure
1:234896 C28H36N2O6
hit structure
1:234897 C39H34N2O5
hit structure
1:234898 C22H23NO4
hit structure
1:234899 C28H34N2O7
hit structure

1
  <<    <    >    >>  

entries in data collection: 317786