Home Browse Text SearchFunctional Group SearchStructure SearchPreferences Administration

selected data collection: 1

IRIS SDF: browse content


1
  <<    <    >    >>  

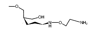
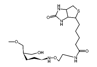
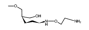
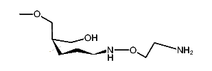
1:233575 C11H28N2O3
hit structure
1:233576 C11H28N2O3
hit structure
1:233577 C11H28N2O3
hit structure
1:233578 C11H28N2O3
hit structure
1:233579 C11H28N2O3
hit structure
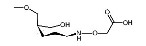
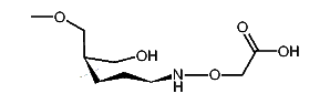
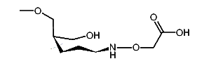
1:233580 C11H25NO5
hit structure
1:233581 C11H25NO5
hit structure
1:233582 C11H25NO5
hit structure
1:233583 C11H25NO5
hit structure
1:233584 C11H25NO5
hit structure
1:233585 C11H25NO5
hit structure
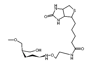
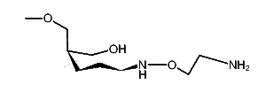
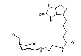
1:233586 C21H42N4O5S
hit structure
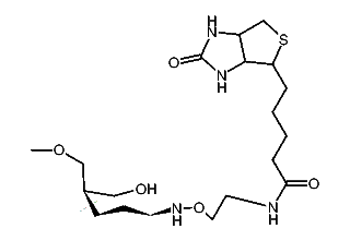
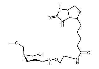
1:233587 C21H42N4O5S
hit structure
1:233588 C21H42N4O5S
hit structure
1:233589 C21H42N4O5S
hit structure
1:233590 C21H42N4O5S
hit structure
1:233591 C12H29NO3S
hit structure
1:233592 C25H23N3O2
hit structure
1:233593 C47H51FN7O7P
hit structure
1:233594 C41H49FN5O8P
hit structure
1:233595 C44H53FN7O8P
hit structure
1:233596 C48H54N7O8P
hit structure
1:233597 C47H54N5O9P
hit structure
1:233598 C45H56N7O9P
hit structure
1:233599 C40H49N4O9P
hit structure

1
  <<    <    >    >>  

entries in data collection: 342946