Home Browse Text SearchFunctional Group SearchStructure SearchPreferences Administration

selected data collection: 1

IRIS SDF: browse content


1
  <<    <    >    >>  

1:231318 C46H60N4O13
hit structure
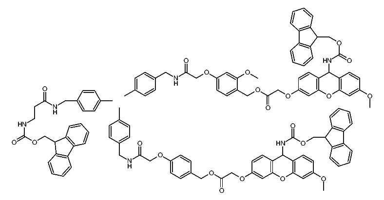
1:231319 C125H120N6O22
hit structure
1:231320 C110H114N6O25
hit structure
1:231321 C96H97N7O14
hit structure
1:231322 C34H33NO5
hit structure
1:231323 C33H31NO5
hit structure
1:231324 C36H37NO5
hit structure
1:231325 C33H31NO5
hit structure
1:231326 C34H33NO5
hit structure
1:231327 C41H46N2O7
hit structure
1:231328 C40H42N2O7
hit structure
1:231329 C46H52N4O7S
hit structure
1:231330 C51H48N2O7
hit structure
1:231331 C35H31NO5
hit structure
1:231332 C53H46N2O6
hit structure
1:231333 C49H54N4O8S
hit structure
1:231334 C38H39NO7
hit structure
1:231335 C52H45NO5S
hit structure
1:231336 C39H41NO7
hit structure
1:231337 C16H14N2O6
hit structure
1:231338 C14H19N3O5S
hit structure
1:231339 C9H9BrO2
hit structure
1:231340 C13H22N2
hit structure
1:231341 C7H14N2
hit structure
1:231342 C21H19ClO2
hit structure

1
  <<    <    >    >>  

entries in data collection: 287594