Home Browse Text SearchFunctional Group SearchStructure SearchPreferences Administration

selected data collection: 1

IRIS SDF: browse content


1
  <<    <    >    >>  

1:230293 C14H26N2O4
hit structure
1:230294 C16H30N2O4
hit structure
1:230295 C14H22N2O4
hit structure
1:230296 C14H22N2O4
hit structure
1:230297 C18H30N2O4
hit structure
1:230298 C7H13NO2
hit structure
1:230299 C6H13NO2
hit structure
1:230300 C7H15NO2
hit structure
1:230301 C8H17NO2
hit structure
1:230302 C9H19NO2
hit structure
1:230303 C7H15NO2
hit structure
1:230304 C6H13NO2
hit structure
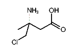
1:230305 C5H10ClNO2
hit structure
1:230306 C9H17NO2
hit structure
1:230307 C10H19NO2
hit structure
1:230308 C7H15NO2
hit structure
1:230309 C7H13NO2
hit structure
1:230310 C7H13NO3
hit structure
1:230311 C5H9NO2
hit structure
1:230312 C6H11NO2
hit structure
1:230313 C16H26N2O4
hit structure
1:230314 C16H22N2O4
hit structure
1:230315 C18H34N2O4
hit structure
1:230316 C18H30N2O4
hit structure
1:230317 C8H15NO2
hit structure

1
  <<    <    >    >>  

entries in data collection: 307722