Home Browse Text SearchFunctional Group SearchStructure SearchPreferences Administration

selected data collection: 1

IRIS SDF: browse content


1
  <<    <    >    >>  

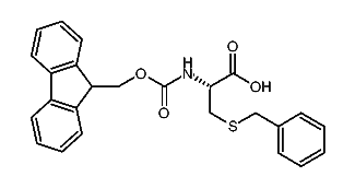
1:224261 C38H33NO4S
hit structure
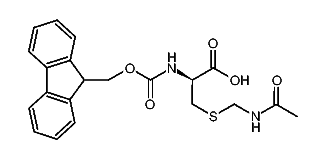
1:224262 C27H27NO4S
hit structure
1:224263 C26H20F3N3O4
hit structure
1:224264 C29H38N2O9
hit structure
1:224265 C31H28N2O8
hit structure
1:224266 C32H30N2O8
hit structure
1:224267 C27H26N2O4
hit structure
1:224268 C31H24N2O5
hit structure
1:224269 C34H25NO4
hit structure
1:224270 C34H25NO4
hit structure
1:224271 C28H28N2O5
hit structure
1:224272 C35H26N2O5
hit structure
1:224273 C23H27NO4
hit structure
1:224274 C25H23NO4
hit structure
1:224275 C22H25NO4
hit structure
1:224276 C26H33NO4
hit structure
1:224277 C26H33NO4
hit structure
1:224278 C29H36N4O8
hit structure
1:224279 C37H44N4O9S
hit structure
1:224280 C21H22N2O5S
hit structure
1:224281 C37H36N4O8
hit structure
1:224282 C27H28N2O8
hit structure
1:224283 C25H23NO4S
hit structure
1:224284 C30H25NO4
hit structure
1:224285 C25H31NO4
hit structure

1
  <<    <    >    >>  

entries in data collection: 322818