Home Browse Text SearchFunctional Group SearchStructure SearchPreferences Administration

selected data collection: 1

IRIS SDF: browse content


1
  <<    <    >    >>  

1:223786 C22H25NO4
hit structure
1:223787 C21H23NO4
hit structure
1:223788 C26H25NO5
hit structure
1:223789 C27H27NO5
hit structure
1:223790 C18H17NO4
hit structure
1:223791 C23H28N2O4
hit structure
1:223792 C24H31ClN2O4
hit structure
1:223793 C19H19NO5
hit structure
1:223794 C32H42N4O8
hit structure
1:223795 C35H42N4O7S
hit structure
1:223796 C29H38N2O8
hit structure
1:223797 C25H23NO4
hit structure
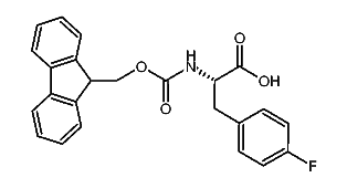
1:223798 C24H20FNO4
hit structure
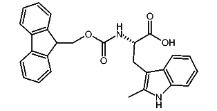
1:223799 C27H24N2O4
hit structure
1:223800 C19H18N2O5
hit structure
1:223801 C22H25NO4S2
hit structure
1:223802 C18H17NO5
hit structure
1:223803 C21H23NO4
hit structure
1:223804 C27H33NO6
hit structure
1:223805 C20H19NO5
hit structure
1:223806 C23H24N2O6
hit structure
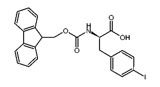
1:223807 C24H20INO4
hit structure
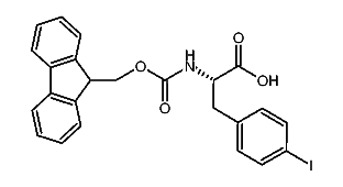
1:223808 C24H20INO4
hit structure
1:223809 C39H35NO4S
hit structure
1:223810 C23H23F3N2O5
hit structure

1
  <<    <    >    >>  

entries in data collection: 332882