Home Browse Text SearchFunctional Group SearchStructure SearchPreferences Administration

selected data collection: 1

IRIS SDF: browse content


1
  <<    <    >    >>  

1:222936 C12H14N2O6Se
hit structure
1:222937 C14H19N5O4
hit structure
1:222938 C14H19N5O4
hit structure
1:222939 C25H32N2O4
hit structure
1:222940 C12H20N2O5
hit structure
1:222941 C11H18N2O3
hit structure
1:222942 C9H15N3O2
hit structure
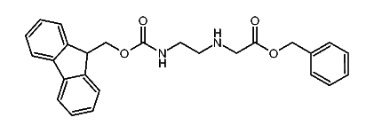
1:222943 C26H26N2O4
hit structure
1:222944 C12H26N2O4Si
hit structure
1:222945 C10H12N2O4Se
hit structure
1:222946 C12H13N5O2
hit structure
1:222947 C11H14N2O4Se
hit structure
1:222948 C14H16N8O2
hit structure
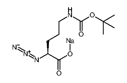
1:222949 C10H17N4NaO4
hit structure
1:222950 C12H13N5O2
hit structure
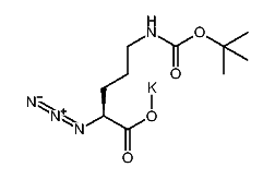
1:222951 C10H17KN4O4
hit structure
1:222952 C15H19N5O2
hit structure
1:222953 C14H17N5O2
hit structure
1:222954 C20H32N4O5S
hit structure
1:222955 C11H23N3O3
hit structure
1:222956 C10H19NO2
hit structure
1:222957 C22H26N2O4
hit structure
1:222958 C20H32N4O5S
hit structure
1:222959 C7H16N2O2
hit structure
1:222960 C6H12N2O3
hit structure

1
  <<    <    >    >>  

entries in data collection: 378170