Home Browse Text SearchFunctional Group SearchStructure SearchPreferences Administration

selected data collection: 1

IRIS SDF: browse content


1
  <<    <    >    >>  

1:221529 C31H40N8O9
hit structure
1:221530 C21H21N7O2S2
hit structure
1:221531 C26H30N8O4S2
hit structure
1:221532 C34H31N7O3
hit structure
1:221533 C24H22N2O2
hit structure
1:221534 C23H21F9N4O4S
hit structure
1:221535 C21H16F9NO5S
hit structure
1:221536 C35H41F9N4O6S2
hit structure
1:221537 C16H30N4O4S
hit structure
1:221538 C7H7N3O
hit structure
1:221539 C8H4N2O4S
hit structure
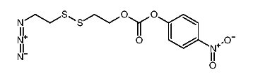
1:221540 C12H16N2O5S2
hit structure
1:221541 C5H9N3O2S2
hit structure
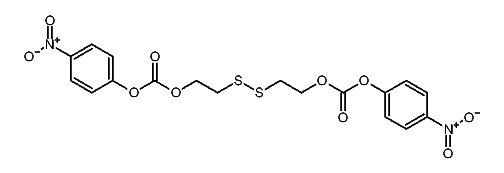
1:221542 C24H24N2O4S2
hit structure
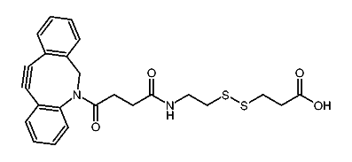
1:221543 C14H24N6O2S3
hit structure
1:221544 C20H22BNO7
hit structure
1:221545 C36H35BN2O13
hit structure
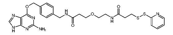
1:221546 C11H12N4O5S2
hit structure
1:221547 C18H16N2O10S2
hit structure
1:221548 C19H14N2O4S3
hit structure
1:221549 C10H17NOS
hit structure
1:221550 C13H22N2O2S
hit structure
1:221551 C14H21NO4S
hit structure
1:221552 C18H34N4O5S
hit structure
1:221553 C10H8N4OS
hit structure

1
  <<    <    >    >>  

entries in data collection: 282562