Home Browse Text SearchFunctional Group SearchStructure SearchPreferences Administration

selected data collection: 1

IRIS SDF: browse content


1
  <<    <    >    >>  

1:220929 C25H28O3S
hit structure
1:220930 C10H24N4O5S
hit structure
1:220931 C20H20F4N2O7
hit structure
1:220932 C18H35NO8
hit structure
1:220933 C13H28N2O5
hit structure
1:220934 C15H32N2O6
hit structure
1:220935 C9H20N2O3
hit structure
1:220936 C6H13NO4
hit structure
1:220937 C6H10KN3O4
hit structure
1:220938 C20H38N4O5S
hit structure
1:220939 C24H46N4O13
hit structure
1:220940 C11H21NO6
hit structure
1:220941 C29H52N8O8S3
hit structure
1:220942 C44H60N6O9S3
hit structure
1:220943 C13H26N4O5
hit structure
1:220944 C14H24O7
hit structure
1:220945 C25H31NO7
hit structure
1:220946 C27H35NO8
hit structure
1:220947 C29H39NO9
hit structure
1:220948 C31H43NO10
hit structure
1:220949 C37H33N3O3
hit structure
1:220950 C37H33N3O3
hit structure
1:220951 C40H35N7O7
hit structure
1:220952 C39H35N5O8
hit structure
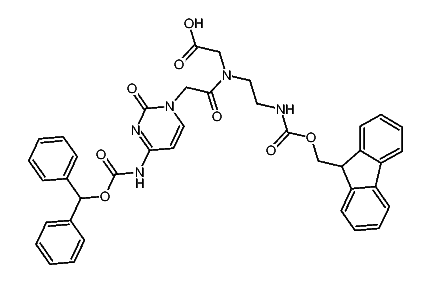
1:220953 C40H35N7O8
hit structure

1
  <<    <    >    >>  

entries in data collection: 292626