Home Browse Text SearchFunctional Group SearchStructure SearchPreferences Administration

selected data collection: 1

IRIS SDF: browse content


1
  <<    <    >    >>  

1:220704 C29H36Cl2N6O3
hit structure
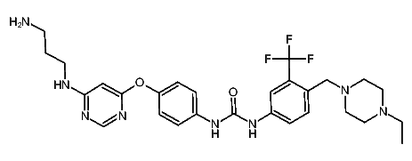
1:220705 C28H35F3N8O2
hit structure
1:220706 C26H23F3N4O4
hit structure
1:220707 C26H23F3N4O4
hit structure
1:220708 C21H20Cl2N4O3
hit structure
1:220709 C21H20Cl2N4O3
hit structure
1:220710 C21H17FN4
hit structure
1:220711 C20H20N4O2
hit structure
1:220712 C95H142N26O23S2
hit structure
1:220713 C57H78N12O16
hit structure
1:220714 C17H21N3O4S
hit structure
1:220715 C13H22N6O2S
hit structure
1:220716 C16H22N4O4S
hit structure
1:220717 C17H24N4O2S3
hit structure
1:220718 C28H45N5O6S3
hit structure
1:220719 C12H21N3O2S2
hit structure
1:220720 C23H42N4O6S2
hit structure
1:220721 C28H30N4O3S
hit structure
1:220722 C20H25N7O2S
hit structure
1:220723 C31H46N8O7S
hit structure
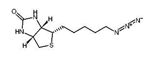
1:220724 C10H17N5OS
hit structure
1:220725 C12H18N2OS
hit structure
1:220726 C10H17N3O2S
hit structure
1:220727 C27H46O
hit structure
1:220728 C23H30N4O2S
hit structure

1
  <<    <    >    >>  

entries in data collection: 292626