Home Browse Text SearchFunctional Group SearchStructure SearchPreferences Administration

selected data collection: 1

IRIS SDF: browse content


1
  <<    <    >    >>  

1:220254 C7H13NO2
hit structure
1:220255 C12H18N2O4
hit structure
1:220256 C14H26N2O4
hit structure
1:220257 C16H30N2O4
hit structure
1:220258 C7H13NO2
hit structure
1:220259 C16H30N2O4
hit structure
1:220260 C14H22N2O4
hit structure
1:220261 C14H22N2O4
hit structure
1:220262 C18H30N2O4
hit structure
1:220263 C6H13NO2
hit structure
1:220264 C7H15NO2
hit structure
1:220265 C8H17NO2
hit structure
1:220266 C9H19NO2
hit structure
1:220267 C7H15NO2
hit structure
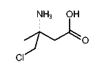
1:220268 C5H10ClNO2
hit structure
1:220269 C6H11NO2
hit structure
1:220270 C9H17NO2
hit structure
1:220271 C10H19NO2
hit structure
1:220272 C7H15NO2
hit structure
1:220273 C7H13NO2
hit structure
1:220274 C7H13NO3
hit structure
1:220275 C5H9NO2
hit structure
1:220276 C6H11NO2
hit structure
1:220277 C9H11NO2
hit structure
1:220278 C9H11NO2
hit structure

1
  <<    <    >    >>  

entries in data collection: 302690