Home Browse Text SearchFunctional Group SearchStructure SearchPreferences Administration

selected data collection: 1

IRIS SDF: browse content


1
  <<    <    >    >>  

1:218447 C42H45N3O7
hit structure
1:218448 C40H49N3O8
hit structure
1:218449 C41H51N3O8
hit structure
1:218450 C46H53N3O8
hit structure
1:218451 C38H45N3O7
hit structure
1:218452 C52H64N6O10S
hit structure
1:218453 C8H11N
hit structure
1:218454 C15H21NO4
hit structure
1:218455 C11H17NO
hit structure
1:218456 C15H21NO4
hit structure
1:218457 C11H17NO
hit structure
1:218458 C11H15BrO
hit structure
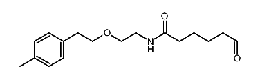
1:218459 C17H25NO3
hit structure
1:218460 C18H30O5
hit structure
1:218461 C19H22O4
hit structure
1:218462 C18H20O3
hit structure
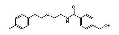
1:218463 C19H23NO3
hit structure
1:218464 C28H30N2O6
hit structure
1:218465 C21H34N2O6
hit structure
1:218466 C29H32N2O6
hit structure
1:218467 C28H30N2O6
hit structure
1:218468 C20H30N2O6
hit structure
1:218469 C21H34N2O6
hit structure
1:218470 C31H36N2O6
hit structure
1:218471 C16H25NO6
hit structure

1
  <<    <    >    >>  

entries in data collection: 292626