Home Browse Text SearchFunctional Group SearchStructure SearchPreferences Administration

selected data collection: 1

IRIS SDF: browse content


1
  <<    <    >    >>  

1:218072 C11H21NO4
hit structure
1:218073 C13H23NO4
hit structure
1:218074 C12H21NO5
hit structure
1:218075 C12H21NO4
hit structure
1:218076 C14H25NO4
hit structure
1:218077 C14H19NO4
hit structure
1:218078 C15H21NO4
hit structure
1:218079 C10H17NO5
hit structure
1:218080 C12H16N2O5
hit structure
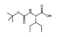
1:218081 C12H23NO4
hit structure
1:218082 C12H19N3O4
hit structure
1:218083 C12H19N3O4
hit structure
1:218084 C21H29N3O5
hit structure
1:218085 C23H44N2O5
hit structure
1:218086 C10H17NO4
hit structure
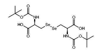
1:218087 C16H28N2O8Se2
hit structure
1:218088 C25H28N2O6
hit structure
1:218089 C13H25NO4
hit structure
1:218090 C11H21NO5
hit structure
1:218091 C12H17NO5
hit structure
1:218092 C12H17NO5
hit structure
1:218093 C13H23NO4
hit structure
1:218094 C16H23NO5Se
hit structure
1:218095 C16H20F3NO4
hit structure
1:218096 C13H25NO4
hit structure

1
  <<    <    >    >>  

entries in data collection: 282562