Home Browse Text SearchFunctional Group SearchStructure SearchPreferences Administration

selected data collection: 1

IRIS SDF: browse content


1
  <<    <    >    >>  

1:217822 C10H16FNO4
hit structure
1:217823 C10H16FNO4
hit structure
1:217824 C10H15F2NO4
hit structure
1:217825 C26H30N2O6
hit structure
1:217826 C24H28N2O6
hit structure
1:217827 C15H21NO4
hit structure
1:217828 C11H19NO4
hit structure
1:217829 C17H25NO5
hit structure
1:217830 C17H22N2O4
hit structure
1:217831 C22H27NO5
hit structure
1:217832 C11H21NO4
hit structure
1:217833 C12H23NO4
hit structure
1:217834 C12H23NO4
hit structure
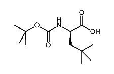
1:217835 C12H21NO4
hit structure
1:217836 C12H21NO4
hit structure
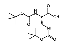
1:217837 C13H24N2O6
hit structure
1:217838 C17H24N2O5S
hit structure
1:217839 C9H14N2O4
hit structure
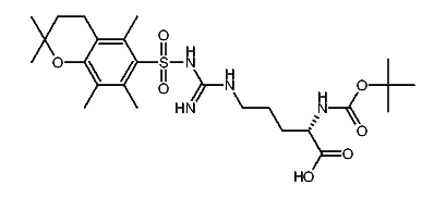
1:217840 C25H40N4O7S
hit structure
1:217841 C23H31N3O6
hit structure
1:217842 C12H23NO4S2
hit structure
1:217843 C11H21N3O5
hit structure
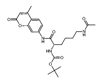
1:217844 C27H34N4O8
hit structure
1:217845 C13H24N2O5
hit structure
1:217846 C12H21NO4
hit structure

1
  <<    <    >    >>  

entries in data collection: 277530