Home Browse Text SearchFunctional Group SearchStructure SearchPreferences Administration

selected data collection: 1

IRIS SDF: browse content


1
  <<    <    >    >>  

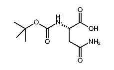
1:217472 C8H15NO5
hit structure
1:217473 C15H19NO4
hit structure
1:217474 C16H20N2O4
hit structure
1:217475 C22H24BrNO7
hit structure
1:217476 C17H23NO5
hit structure
1:217477 C10H19NO4
hit structure
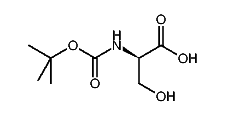
1:217478 C7H13NO4
hit structure
1:217479 C11H19NO4
hit structure
1:217480 C13H18N2O4
hit structure
1:217481 C8H15NO4
hit structure
1:217482 C11H21N5O6
hit structure
1:217483 C24H38N4O7S
hit structure
1:217484 C18H28N4O6S
hit structure
1:217485 C11H22N4O4
hit structure
1:217486 C22H24N2O6
hit structure
1:217487 C9H16N2O5
hit structure
1:217488 C12H19NO6
hit structure
1:217489 C16H21NO6
hit structure
1:217490 C15H25NO6
hit structure
1:217491 C13H23NO6
hit structure
1:217492 C13H23NO6
hit structure
1:217493 C13H23NO6
hit structure
1:217494 C11H20N2O5S
hit structure
1:217495 C15H21NO4S
hit structure
1:217496 C16H23NO4S
hit structure

1
  <<    <    >    >>  

entries in data collection: 272498