Home Browse Text SearchFunctional Group SearchStructure SearchPreferences Administration

selected data collection: 1

IRIS SDF: browse content


1
  <<    <    >    >>  

1:216447 C16H22N2O7S2
hit structure
1:216448 C19H21NO3S2
hit structure
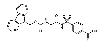
1:216449 C26H24N2O7S2
hit structure
1:216450 C19H14N2O5S2
hit structure
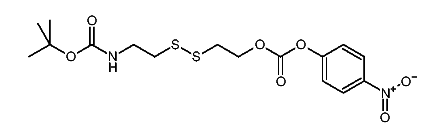
1:216451 C14H21NO3S2
hit structure
1:216452 C21H24N2O7S2
hit structure
1:216453 C24H23NO3S2
hit structure
1:216454 C9H11BrN2O5
hit structure
1:216455 C8H14N2O2S
hit structure
1:216456 C24H20N2O7S
hit structure
1:216457 C16H32ClN3O5
hit structure
1:216458 C9H9N3O2
hit structure
1:216459 C10H19NO5
hit structure
1:216460 C29H35ClN2O4
hit structure
1:216461 C10H22ClNO2
hit structure
1:216462 C14H30ClNO4
hit structure
1:216463 C10H20ClN3O2
hit structure
1:216464 C14H28ClN3O4
hit structure
1:216465 C16H26N2O2
hit structure
1:216466 C16H30N2O2
hit structure
1:216467 C18H34N2O2
hit structure
1:216468 C18H30N2O2
hit structure
1:216469 C29H31NO6
hit structure
1:216470 C30H29NO6
hit structure
1:216471 C28H29NO6
hit structure

1
  <<    <    >    >>  

entries in data collection: 277530