Home Browse Text SearchFunctional Group SearchStructure SearchPreferences Administration

selected data collection: 1

IRIS SDF: browse content


1
  <<    <    >    >>  

1:215626 C16H28N4O4S
hit structure
1:215627 C46H50N10O9
hit structure
1:215628 C55H65N7O12
hit structure
1:215629 C51H53N7O16
hit structure
1:215630 C48H63N13O10
hit structure
1:215631 C23H34N4O4S3
hit structure
1:215632 C14H20N4O4
hit structure
1:215633 C16H15N5
hit structure
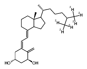
1:215634 C27H38D6O2
hit structure
1:215635 C27H40D6O2
hit structure
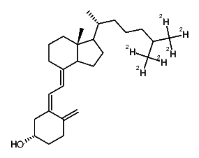
1:215636 C27H38D6O
hit structure
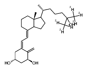
1:215637 C27H38D6O2
hit structure
1:215638 C27H38D6O3
hit structure
1:215639 C27H41D3O
hit structure
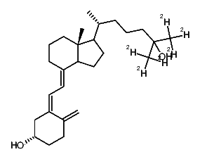
1:215640 C27H38D6O
hit structure
1:215641 C27H40D6O
hit structure
1:215642 C28H38D6O2
hit structure
1:215643 C28H38D6O2
hit structure
1:215644 C28H38D6O3
hit structure
1:215645 C28H41D3O
hit structure
1:215646 C28H38D6O
hit structure
1:215647 C29H47D3O2
hit structure
1:215648 C29H44D6O2
hit structure
1:215649 C31H46D6O3
hit structure
1:215650 C29H41D9O2
hit structure

1
  <<    <    >    >>  

entries in data collection: 267466