Home Browse Text SearchFunctional Group SearchStructure SearchPreferences Administration

selected data collection: 1

IRIS SDF: browse content


1
  <<    <    >    >>  

1:215226 C7H13NO2
hit structure
1:215227 C16H30N2O4
hit structure
1:215228 C14H22N2O4
hit structure
1:215229 C14H22N2O4
hit structure
1:215230 C18H30N2O4
hit structure
1:215231 C6H13NO2
hit structure
1:215232 C7H15NO2
hit structure
1:215233 C8H17NO2
hit structure
1:215234 C9H19NO2
hit structure
1:215235 C7H15NO2
hit structure
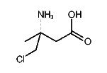
1:215236 C5H10ClNO2
hit structure
1:215237 C6H11NO2
hit structure
1:215238 C9H17NO2
hit structure
1:215239 C10H19NO2
hit structure
1:215240 C7H15NO2
hit structure
1:215241 C7H13NO2
hit structure
1:215242 C7H13NO3
hit structure
1:215243 C5H9NO2
hit structure
1:215244 C6H11NO2
hit structure
1:215245 C9H11NO2
hit structure
1:215246 C9H11NO2
hit structure
1:215247 C14H21N7O4
hit structure
1:215248 C26H28N4O2
hit structure
1:215249 C14H14N2O5
hit structure
1:215250 C10H16N4O4
hit structure

1
  <<    <    >    >>  

entries in data collection: 242306