Home Browse Text SearchFunctional Group SearchStructure SearchPreferences Administration

selected data collection: 1

IRIS SDF: browse content


1
  <<    <    >    >>  

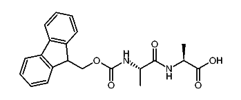
1:214817 C31H29N3O5
hit structure
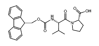
1:214818 C22H24N2O5
hit structure
1:214819 C25H28N2O5
hit structure
1:214820 C35H40N2O9
hit structure
1:214821 C35H28N2O7
hit structure
1:214822 C36H43N5O8S
hit structure
1:214823 C28H35N3O7
hit structure
1:214824 C22H24N2O5S
hit structure
1:214825 C27H29N3O7
hit structure
1:214826 C31H34N2O7
hit structure
1:214827 C26H35N5O5
hit structure
1:214828 C32H36N2O7
hit structure
1:214829 C29H30N2O7
hit structure
1:214830 C34H38N2O9
hit structure
1:214831 C28H28N2O7
hit structure
1:214832 C32H36N2O7
hit structure
1:214833 C21H22N2O5
hit structure
1:214834 C45H40N4O5
hit structure
1:214835 C32H36N2O6
hit structure
1:214836 C25H26N4O5
hit structure
1:214837 C30H33N3O6
hit structure
1:214838 C23H24N2O5
hit structure
1:214839 C41H52N6O11
hit structure
1:214840 C25H30N2O5
hit structure
1:214841 C60
hit structure

1
  <<    <    >    >>  

entries in data collection: 252370