Home Browse Text SearchFunctional Group SearchStructure SearchPreferences Administration

selected data collection: 1

IRIS SDF: browse content


1
  <<    <    >    >>  

1:214759 C28H28N2O8S
hit structure
1:214760 C29H27N5O3S
hit structure
1:214761 C26H19N3O4S2
hit structure
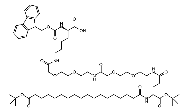
1:214762 C64H101N5O16
hit structure
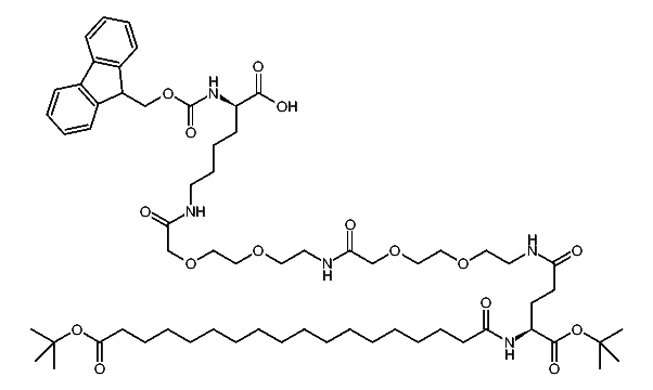
1:214763 C64H101N5O16
hit structure
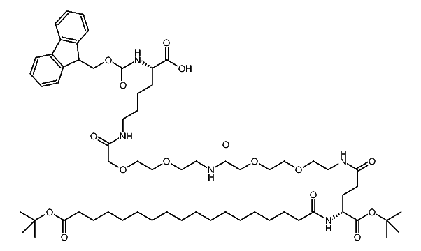
1:214764 C64H101N5O16
hit structure
1:214765 C22H21NO4S
hit structure
1:214766 C25H28N2O6
hit structure
1:214767 C24H24N2O6
hit structure
1:214768 C28H36N2O6
hit structure
1:214769 C39H34N2O5
hit structure
1:214770 C22H23NO4
hit structure
1:214771 C28H34N2O7
hit structure
1:214772 C29H36N2O7
hit structure
1:214773 C30H38N2O7
hit structure
1:214774 C23H28N2O5
hit structure
1:214775 C23H28N2O5
hit structure
1:214776 C20H21NO3
hit structure
1:214777 C6H15NO
hit structure
1:214778 C8H11NO
hit structure
1:214779 C8H11NO
hit structure
1:214780 C5H11NO
hit structure
1:214781 C9H13NO2
hit structure
1:214782 C18H19NO3
hit structure
1:214783 C6H15NO
hit structure

1
  <<    <    >    >>  

entries in data collection: 237274