Home Browse Text SearchFunctional Group SearchStructure SearchPreferences Administration

selected data collection: 1

IRIS SDF: browse content


1
  <<    <    >    >>  

1:214320 C24H26N2O5
hit structure
1:214321 C23H24N2O6S
hit structure
1:214322 C26H34N4O4
hit structure
1:214323 C28H36N2O5
hit structure
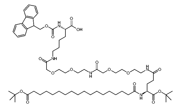
1:214324 C64H101N5O16
hit structure
1:214325 C24H21N3O8S
hit structure
1:214326 C26H34N4O4
hit structure
1:214327 C20H22N4O4
hit structure
1:214328 C20H22N4O4
hit structure
1:214329 C22H20N2O4
hit structure
1:214330 C24H21NO8S
hit structure
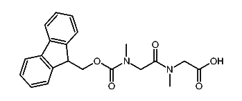
1:214331 C21H22N2O5
hit structure
1:214332 C24H27N3O6
hit structure
1:214333 C28H24N2O6
hit structure
1:214334 C28H26N2O6
hit structure
1:214335 C25H22N4O4
hit structure
1:214336 C46H69N3O8
hit structure
1:214337 C46H69N3O8
hit structure
1:214338 C27H34N2O5
hit structure
1:214339 C27H27NO5
hit structure
1:214340 C27H27NO5
hit structure
1:214341 C26H23NO6
hit structure
1:214342 C36H45NO5
hit structure
1:214343 C34H33NO7S2
hit structure
1:214344 C31H42N2O5
hit structure

1
  <<    <    >    >>  

entries in data collection: 257402