Home Browse Text SearchFunctional Group SearchStructure SearchPreferences Administration

selected data collection: 1

IRIS SDF: browse content


1
  <<    <    >    >>  

1:212581 C16H31NO4
hit structure
1:212582 C17H33NO4
hit structure
1:212583 C12H15NO4
hit structure
1:212584 C12H15NO4
hit structure
1:212585 C12H15NO4
hit structure
1:212586 C13H17NO4
hit structure
1:212587 C13H23NO4
hit structure
1:212588 C11H21NO4
hit structure
1:212589 C13H25NO4
hit structure
1:212590 C18H21NO4
hit structure
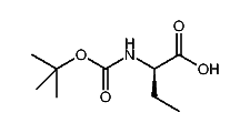
1:212591 C9H17NO4
hit structure
1:212592 C16H21NO4
hit structure
1:212593 C18H28N4O6S
hit structure
1:212594 C21H23NO5
hit structure
1:212595 C10H18N2O5
hit structure
1:212596 C17H23NO6
hit structure
1:212597 C19H28N2O6
hit structure
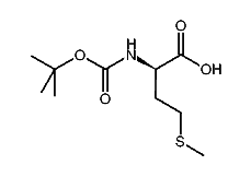
1:212598 C10H19NO4S
hit structure
1:212599 C14H18FNO4
hit structure
1:212600 C14H17Cl2NO4
hit structure
1:212601 C14H17F2NO4
hit structure
1:212602 C14H18FNO4
hit structure
1:212603 C14H18INO4
hit structure
1:212604 C14H18BrNO4
hit structure
1:212605 C14H18FNO4
hit structure

1
  <<    <    >    >>  

entries in data collection: 262434