Home Browse Text SearchFunctional Group SearchStructure SearchPreferences Administration

selected data collection: 1

IRIS SDF: browse content


1
  <<    <    >    >>  

1:2126 C21H23NO5 C21H23NO5 C21H23NO5 C21H23NO5 C2
hit structure
1:2127 C23H22N2O5 C23H22N2O5 C23H22N2O5 C23H22N2O5
hit structure
1:2128 C26H28N2O5 C26H28N2O5 C26H28N2O5 C26H28N2O5
hit structure
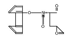
1:2129 C27H29NO4 C27H29NO4 C27H29NO4 C27H29NO4 C2
hit structure
1:2130 C25H23NO4 C25H23NO4 C25H23NO4 C25H23NO4 C2
hit structure
1:2131 C28H31NO4 C28H31NO4 C28H31NO4 C28H31NO4 C2
hit structure
1:2132 C20H19NO4 C20H19NO4 C20H19NO4 C20H19NO4 C2
hit structure
1:2133 C28H31NO4 C28H31NO4 C28H31NO4 C28H31NO4 C2
hit structure
1:2134 C24H28N2O6 C24H28N2O6 C24H28N2O6 C24H28N2O6
hit structure
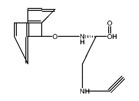
1:2135 C23H28N2O4 C23H28N2O4 C23H28N2O4 C23H28N2O4
hit structure
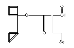
1:2136 C20H21NO4Se C20H21NO4Se C20H21NO4Se C20H21N
hit structure
1:2137 C27H27N3O8S C27H27N3O8S C27H27N3O8S C27H27N
hit structure
1:2138 C29H28N2O7 C29H28N2O7 C29H28N2O7 C29H28N2O7
hit structure
1:2139 C22H20N2O6 C22H20N2O6 C22H20N2O6 C22H20N2O6
hit structure
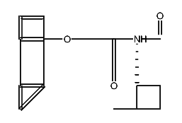
1:2140 C24H25NO4 C24H25NO4 C24H25NO4 C24H25NO4 C2
hit structure
1:2141 C22H19NO5 C22H19NO5 C22H19NO5 C22H19NO5 C2
hit structure
1:2142 C19H16F3NO4 C19H16F3NO4 C19H16F3NO4 C19H16F
hit structure
1:2143 C19H16F3NO4 C19H16F3NO4 C19H16F3NO4 C19H16F
hit structure
1:2144 C18H15F2NO3 C18H15F2NO3 C18H15F2NO
hit structure
1:2145 C20H17F2NO4 C20H17F2NO4 C20H17F2NO4 C20H17F
hit structure
1:2146 C20H18FNO4 C20H18FNO4 C20H18FNO4 C20H18FNO4
hit structure
1:2147 C20H22N2O4 C20H22N2O4 C20H22N2O4 C20H22N2O4
hit structure
1:2148 C26H32N2O6 C26H32N2O6 C26H32N2O6 C26H32N2O6
hit structure
1:2149 C22H26N2O4 C22H26N2O4 C22H26N2O4 C22H26N2O4
hit structure
1:2150 C24H19F2NO4 C24H19F2NO4 C24H19F2NO4 C24H19F
hit structure

1
  <<    <    >    >>  

entries in data collection: 307722