Home Browse Text SearchFunctional Group SearchStructure SearchPreferences Administration

selected data collection: 1

IRIS SDF: browse content


1
  <<    <    >    >>  

1:211515 C24H37N5O3S3
hit structure
1:211516 C20H29N5O5S
hit structure
1:211517 C23H33N5O7S
hit structure
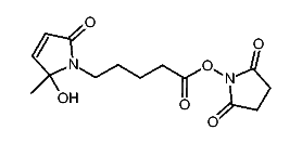
1:211518 C22H34N4O5S
hit structure
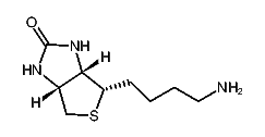
1:211519 C9H17N3OS
hit structure
1:211520 C20H17Cl
hit structure
1:211521 C6H7ClIN
hit structure
1:211522 C8H9NO2
hit structure
1:211523 C22H20O2S
hit structure
1:211524 C16H15F5N2O3S
hit structure
1:211525 C17H24N6O5
hit structure
1:211526 C18H23N3O5
hit structure
1:211527 C27H40N6O7S
hit structure
1:211528 C36H39N5O7
hit structure
1:211529 C15H27N5O3S2
hit structure
1:211530 C9H6N4O3
hit structure
1:211531 C13H16N4O4
hit structure
1:211532 C6H7NO5
hit structure
1:211533 C10H11NO2S
hit structure
1:211534 C8H9NO2
hit structure
1:211535 C10H15NO4
hit structure
1:211536 C14H18N2O6
hit structure
1:211537 C12H19NO6
hit structure
1:211538 C16H22N2O8
hit structure
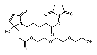
1:211539 C22H32N2O11
hit structure

1
  <<    <    >    >>  

entries in data collection: 272498