Home Browse Text SearchFunctional Group SearchStructure SearchPreferences Administration

selected data collection: 1

IRIS SDF: browse content


1
  <<    <    >    >>  

1:211415 C16H22N2O7S2
hit structure
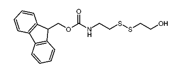
1:211416 C19H21NO3S2
hit structure
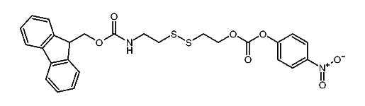
1:211417 C26H24N2O7S2
hit structure
1:211418 C19H14N2O5S2
hit structure
1:211419 C14H21NO3S2
hit structure
1:211420 C21H24N2O7S2
hit structure
1:211421 C24H23NO3S2
hit structure
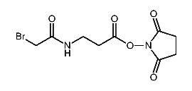
1:211422 C9H11BrN2O5
hit structure
1:211423 C8H14N2O2S
hit structure
1:211424 C24H20N2O7S
hit structure
1:211425 C16H32ClN3O5
hit structure
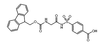
1:211426 C9H9N3O2
hit structure
1:211427 C10H19NO5
hit structure
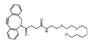
1:211428 C29H35ClN2O4
hit structure
1:211429 C10H22ClNO2
hit structure
1:211430 C14H30ClNO4
hit structure
1:211431 C10H20ClN3O2
hit structure
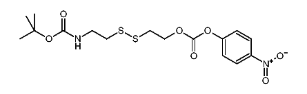
1:211432 C14H28ClN3O4
hit structure
1:211433 C16H26N2O2
hit structure
1:211434 C16H30N2O2
hit structure
1:211435 C18H34N2O2
hit structure
1:211436 C18H30N2O2
hit structure
1:211437 C29H31NO6
hit structure
1:211438 C30H29NO6
hit structure
1:211439 C28H29NO6
hit structure

1
  <<    <    >    >>  

entries in data collection: 277530