Home Browse Text SearchFunctional Group SearchStructure SearchPreferences Administration

selected data collection: 1

IRIS SDF: browse content


1
  <<    <    >    >>  

1:210990 C34H38N4O6
hit structure
1:210991 C48H44N4O4S
hit structure
1:210992 C35H40N4O6
hit structure
1:210993 C50H47N5O5
hit structure
1:210994 C28H28N4O4
hit structure
1:210995 C51H46N6O4
hit structure
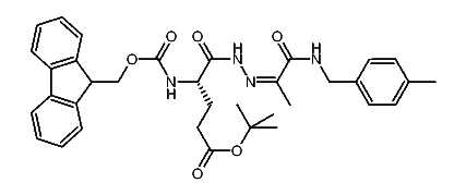
1:210996 C33H38N4O4
hit structure
1:210997 C32H36N4O4
hit structure
1:210998 C37H45N5O6
hit structure
1:210999 C31H34N4O4S
hit structure
1:211000 C35H34N4O4
hit structure
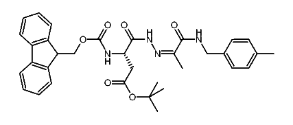
1:211001 C31H32N4O4
hit structure
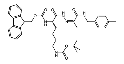
1:211002 C33H38N4O5
hit structure
1:211003 C34H40N4O5
hit structure
1:211004 C42H43N5O6
hit structure
1:211005 C39H42N4O5
hit structure
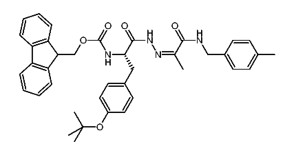
1:211006 C31H34N4O4
hit structure
1:211007 C10H14O3
hit structure
1:211008 C11H15NO3
hit structure
1:211009 C35H36N2O7
hit structure
1:211010 C3H9NO
hit structure
1:211011 C23H22ClNO2
hit structure
1:211012 C23H22ClNO2
hit structure
1:211013 C23H22ClNO2
hit structure
1:211014 C39H45ClN4O5S
hit structure

1
  <<    <    >    >>  

entries in data collection: 287594