Home Browse Text SearchFunctional Group SearchStructure SearchPreferences Administration

selected data collection: 1

IRIS SDF: browse content


1
  <<    <    >    >>  

1:210165 C14H26N2O4
hit structure
1:210166 C16H30N2O4
hit structure
1:210167 C14H22N2O4
hit structure
1:210168 C14H22N2O4
hit structure
1:210169 C18H30N2O4
hit structure
1:210170 C7H13NO2
hit structure
1:210171 C6H13NO2
hit structure
1:210172 C7H15NO2
hit structure
1:210173 C8H17NO2
hit structure
1:210174 C9H19NO2
hit structure
1:210175 C7H15NO2
hit structure
1:210176 C6H13NO2
hit structure
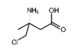
1:210177 C5H10ClNO2
hit structure
1:210178 C9H17NO2
hit structure
1:210179 C10H19NO2
hit structure
1:210180 C7H15NO2
hit structure
1:210181 C7H13NO2
hit structure
1:210182 C7H13NO3
hit structure
1:210183 C5H9NO2
hit structure
1:210184 C6H11NO2
hit structure
1:210185 C16H26N2O4
hit structure
1:210186 C16H22N2O4
hit structure
1:210187 C18H34N2O4
hit structure
1:210188 C18H30N2O4
hit structure
1:210189 C8H15NO2
hit structure

1
  <<    <    >    >>  

entries in data collection: 302690