Home Browse Text SearchFunctional Group SearchStructure SearchPreferences Administration

selected data collection: 1

IRIS SDF: browse content


1
  <<    <    >    >>  

1:208240 C15H28N2O6
hit structure
1:208241 C9H20N2O2
hit structure
1:208242 C8H18N2O2
hit structure
1:208243 C10H22N2O2
hit structure
1:208244 C15H32N2O4
hit structure
1:208245 C11H24N2O4
hit structure
1:208246 C7H16N2O2
hit structure
1:208247 C14H22N2O2
hit structure
1:208248 C23H26BrN2O2P
hit structure
1:208249 C9H18N2O2
hit structure
1:208250 C9H18N2O2
hit structure
1:208251 C11H22N2O2
hit structure
1:208252 C13H26N2O2
hit structure
1:208253 C14H29N3O4
hit structure
1:208254 C14H29N3O4
hit structure
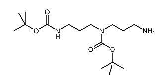
1:208255 C16H33N3O4
hit structure
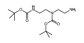
1:208256 C16H33N3O4
hit structure
1:208257 C17H35N3O4
hit structure
1:208258 C17H35N3O4
hit structure
1:208259 C10H22N4O3
hit structure
1:208260 C24H50N4O4
hit structure
1:208261 C9H20N2O2S2
hit structure
1:208262 C13H28N2O2
hit structure
1:208263 C14H30N2O2
hit structure
1:208264 C15H32N2O2
hit structure

1
  <<    <    >    >>  

entries in data collection: 342946