Home Browse Text SearchFunctional Group SearchStructure SearchPreferences Administration

selected data collection: 1

IRIS SDF: browse content


1
  <<    <    >    >>  

1:207835 C12H16N2O6S
hit structure
1:207836 C21H35NO3
hit structure
1:207837 C21H21N5O5
hit structure
1:207838 C8H15N5O3
hit structure
1:207839 C6H12N2O4Se2
hit structure
1:207840 C12H14N2O6Se
hit structure
1:207841 C14H19N5O4
hit structure
1:207842 C14H19N5O4
hit structure
1:207843 C25H32N2O4
hit structure
1:207844 C12H20N2O5
hit structure
1:207845 C11H18N2O3
hit structure
1:207846 C9H15N3O2
hit structure
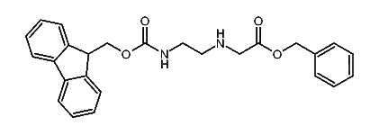
1:207847 C26H26N2O4
hit structure
1:207848 C12H26N2O4Si
hit structure
1:207849 C10H12N2O4Se
hit structure
1:207850 C12H13N5O2
hit structure
1:207851 C11H14N2O4Se
hit structure
1:207852 C14H16N8O2
hit structure
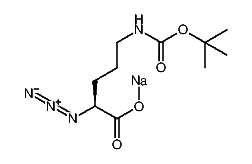
1:207853 C10H17N4NaO4
hit structure
1:207854 C12H13N5O2
hit structure
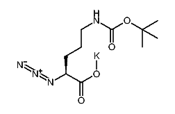
1:207855 C10H17KN4O4
hit structure
1:207856 C15H19N5O2
hit structure
1:207857 C14H17N5O2
hit structure
1:207858 C20H32N4O5S
hit structure
1:207859 C11H23N3O3
hit structure

1
  <<    <    >    >>  

entries in data collection: 342946