Home Browse Text SearchFunctional Group SearchStructure SearchPreferences Administration

selected data collection: 1

IRIS SDF: browse content


1
  <<    <    >    >>  

1:207785 C25H30N2O6S
hit structure
1:207786 C20H32N4O6S
hit structure
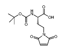
1:207787 C12H16N2O6
hit structure
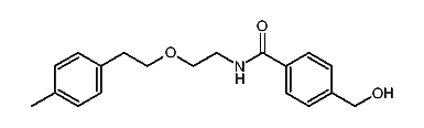
1:207788 C13H18N2O6
hit structure
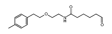
1:207789 C13H24N2O8
hit structure
1:207790 C43H44N2O7
hit structure
1:207791 C16H22O4
hit structure
1:207792 C11H16OS
hit structure
1:207793 C31H31NO3
hit structure
1:207794 C18H22O3
hit structure
1:207795 C11H15BrO
hit structure
1:207796 C17H25NO3
hit structure
1:207797 C18H30O5
hit structure
1:207798 C19H22O4
hit structure
1:207799 C18H20O3
hit structure
1:207800 C19H23NO3
hit structure
1:207801 C43H44N2O7
hit structure
1:207802 C16H22O4
hit structure
1:207803 C11H16OS
hit structure
1:207804 C31H31NO3
hit structure
1:207805 C18H22O3
hit structure
1:207806 C11H16O2
hit structure
1:207807 C11H16O2
hit structure
1:207808 C54H53N3O9
hit structure
1:207809 C37H35NO7
hit structure

1
  <<    <    >    >>  

entries in data collection: 342946