Home Browse Text SearchFunctional Group SearchStructure SearchPreferences Administration

selected data collection: 1

IRIS SDF: browse content


1
  <<    <    >    >>  

1:206708 C59H49N3O6
hit structure
1:206709 C44H42N2O7
hit structure
1:206710 C58H48N2O5S
hit structure
1:206711 C42H39N3O6S
hit structure
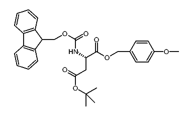
1:206712 C43H42N2O5S
hit structure
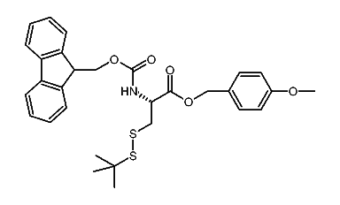
1:206713 C43H42N2O5S2
hit structure
1:206714 C60H51N3O6
hit structure
1:206715 C45H44N2O7
hit structure
1:206716 C38H32N2O5
hit structure
1:206717 C61H50N4O5
hit structure
1:206718 C52H47N3O7
hit structure
1:206719 C27H29NO5
hit structure
1:206720 C43H52N4O8S
hit structure
1:206721 C44H54N4O8S
hit structure
1:206722 C47H44N2O6
hit structure
1:206723 C32H37NO7
hit structure
1:206724 C46H43NO5S
hit structure
1:206725 C30H34N2O6S
hit structure
1:206726 C31H37NO5S
hit structure
1:206727 C31H37NO5S2
hit structure
1:206728 C48H46N2O6
hit structure
1:206729 C33H39NO7
hit structure
1:206730 C26H27NO5
hit structure
1:206731 C49H45N3O5
hit structure
1:206732 C30H35NO5
hit structure

1
  <<    <    >    >>  

entries in data collection: 212114