Home Browse Text SearchFunctional Group SearchStructure SearchPreferences Administration

selected data collection: 1

IRIS SDF: browse content


1
  <<    <    >    >>  

1:203210 C8H18N2O2
hit structure
1:203211 C10H22N2O2
hit structure
1:203212 C15H32N2O4
hit structure
1:203213 C11H24N2O4
hit structure
1:203214 C7H16N2O2
hit structure
1:203215 C14H22N2O2
hit structure
1:203216 C23H26BrN2O2P
hit structure
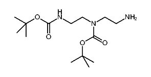
1:203217 C9H18N2O2
hit structure
1:203218 C9H18N2O2
hit structure
1:203219 C11H22N2O2
hit structure
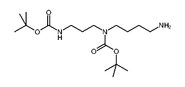
1:203220 C13H26N2O2
hit structure
1:203221 C14H29N3O4
hit structure
1:203222 C14H29N3O4
hit structure
1:203223 C16H33N3O4
hit structure
1:203224 C16H33N3O4
hit structure
1:203225 C17H35N3O4
hit structure
1:203226 C17H35N3O4
hit structure
1:203227 C10H22N4O3
hit structure
1:203228 C24H50N4O4
hit structure
1:203229 C9H20N2O2S2
hit structure
1:203230 C13H28N2O2
hit structure
1:203231 C14H30N2O2
hit structure
1:203232 C15H32N2O2
hit structure
1:203233 C16H34N2O2
hit structure
1:203234 C17H36N2O2
hit structure

1
  <<    <    >    >>  

entries in data collection: 257402